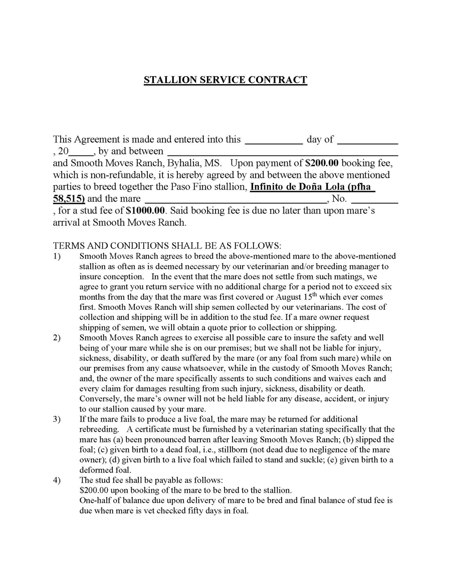
58515 Infinito de Dona Lola
Item Number: 9
Category: Services
Retail Value: USD $1,000.00
Bidding Starts at:
USD $500.00
0 Bids
Minimum Bid Increment: USD $100
Support and Processing Fee: 3.50%
Time Left
8
Days
Days
:
07
Hours
Hours
:
15
Minutes
Minutes
:
45
Seconds
Seconds
Ends: Mon, Jan 01, 0001 12:00 AM
Donated By:
Timothy & Heather Martin
Description
Sire: Sublime de Doña Lola
Dam: Prima de Sun Haven
Infinito de Doña Lola
(Sublime de Doña Lola × Prima de Sun Haven, by Profeta de Besilu)
Infinito de Doña Lola has earned numerous show titles, including National Champion Fino Colt. A proven sire with offspring already succeeding in the show ring, he brings talent, conformation, and exceptional temperament to every cross.
Standing at Smooth Moves Ranch, Byhalia, MS. Proudly owned by Timothy and Heather Martin
Additional Information
3.5% credit card fee applies




